Close Menu
    فيسبوك X (Twitter) الانستغرام
    الأربعاء, مايو 13, 2026
    • Contact us
    • Sitemap
    • من نحن / Who we are
    • Cookie Policy (EU)
    • سياسة الاستخدام والخصوصية
    فيسبوك X (Twitter) الانستغرام RSS
    وطن. يغرد خارج السربوطن. يغرد خارج السرب
    • الرئيسية
    • تقارير
    • الهدهد
    • حياتنا
    • فيديو
    • صحة
    • اقتصاد
    • قصص مصورة
    • English
    وطن. يغرد خارج السربوطن. يغرد خارج السرب
    أنت الآن تتصفح:أرشيف وطن » حياتنا » “إجابتها نعم أو لا” .. مسألة رياضية شهيرة حيّرت العلماء أكثر من قرن جائزتها مليون دولار
    حياتنا

    “إجابتها نعم أو لا” .. مسألة رياضية شهيرة حيّرت العلماء أكثر من قرن جائزتها مليون دولار

    Anas Al SalemAnas Al Salem24 أغسطس، 2023آخر تحديث:19 يناير، 2024لا توجد تعليقات2 دقائق
    فيسبوك تويتر بينتيريست لينكدإن Tumblr البريد الإلكتروني
    حل فرضية ريمان مقابل مليون دولار
    حل فرضية ريمان مقابل مليون دولار
    شاركها
    فيسبوك تويتر لينكدإن بينتيريست البريد الإلكتروني

    وطن – عرضت إحدى المؤسسات جائزة قدرها مليون دولار لأي شخص يتمكن من حل مسألة رياضية شهيرة (هي فرضية ريمان)، حيرت علماء الرياضيات لأكثر من قرن.

    وتعتبر فرضية ريمان، التي اقترحها لأول مرة عالم الرياضيات الألماني برنارد ريمان عام 1859، واحدة من أصعب وأهم المسائل التي لم يتم حلها.

    فرضية ريمان واحدة من أصعب وأهم المسائل التي لم يتم حلها
    فرضية ريمان واحدة من أصعب وأهم المسائل التي لم يتم حلها

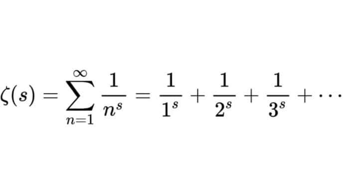
    تعتمد الفرضية وفق صحيفة “نيو يورك بوست” على دالة زيتا لريمان، المنسوبة إلى برنارد ريمان، وتنص على أن “الجزء الحقيقي من كل صفر غير بديهي في دالة زيتا لريمان هو 1/2”.

    أما الإجابة عن فرضية ريمان هي ببساطة “نعم” أو “لا”.

    إلا أن هناك العديد من الطرق الافتراضية للوصول إلى الحل وكلها صعبة للغاية.

    عالم الرياضيات الألماني برنارد ريمان
    عالم الرياضيات الألماني برنارد ريمان

    حل فرضية ريمان 

    فإذا كانت الإجابة نعم، سيكون لذلك آثار كبيرة على نظرية الأعداد والتشفير ودراسة الأعداد الأولية.

    وهناك الكثير من الأدلة الجيدة التي تدفع علماء الرياضيات للاعتقاد بأن فرضية ريمان صحيحة. غير أنها لا تزال بحاجة إلى إثبات.

    إذا كانت صحيحة، فستوفر رؤى رائدة حول طريقة عمل الأعداد الأولية.

    فقد أوضح عالم الرياضيات مات باركر عام 2010 أن الخبراء “مهووسون بالأعداد الأولية لأنها أساس جميع الأعداد الأخرى”.

    كما أضاف أن الأعداد الأولية في الرياضيات تشبه الذرات في الكيمياء، والطوب في صناعة البناء.كما نقلت “العربية نت”

    وتابع: أنه “يتم بناء كل شيء من هذه الوحدات الأساسية. ويمكنك التحقق من سلامة شيء ما من خلال إلقاء نظرة فاحصة على الوحدات التي تم تصنيعه منها”.

    إذا لم تكن (فرضية ريمان) صحيحة

    في هذا السياق قال عالم الرياضيات الجنوب إفريقي، بيتر سارناك، إنه “إذا لم تكن (فرضية ريمان) صحيحة، فإن العالم سيكون مكاناً مختلفاً تماماً”.

    كما أوضح: “بطريقة ما، سيكون الأمر أكثر إثارة للاهتمام إذا كانت خاطئة، لكنها ستكون كارثة لأن بنينا الكثير حول افتراض حقيقتها”.

    وكما أشرنا فإن جائزة قدرها مليون دولار لمن يتمكن من حل المسألة، أعلن عنها معهد كلاي للرياضيات في كامبريدج، ماساتشوستس.

    فرضية ريمان مسألة رياضية
    شاركها. فيسبوك تويتر بينتيريست لينكدإن Tumblr البريد الإلكتروني
    السابقدعوة 3 دول عربية للانضمام لمجموعة بريكس.. من هي؟ وماذا يعني ذلك؟
    التالي طالبان تمنع سفر 100 طالبة أفغانية للإمارات وتعليق ناري من خلف الحبتور (شاهد)
    Anas Al Salem
    • فيسبوك
    • X (Twitter)

    - كاتب ومحرر صحفي يقيم في اسطنبول. - يرأس إدارة تحرير صحيفة وطن - يغرد خارج السرب منذ عام 2015. - حاصل على درجة البكالوريوس في الصحافة والاعلام. - عمل مراسلاً لعدد من المواقع ووكالات الانباء، ومُعدّاً ومقدماً لبرامج إذاعية. - شارك في عدة دورات صحفية تدريبية، خاصة في مجال الاعلام الرقمي، نظمتها BBC. - أشرف على تدريب مجموعات طلابية وخريجين في مجال الصحافة المكتوبة والمسموعة . - قاد ورشات عمل حول التعامل مع مواقع التواصل الاجتماعي والتأثير في المتلقين . - ساهم في صياغة الخط التحريري لمواقع اخبارية تعنى بالشأن السياسي والمنوعات . - مترجم من مصادر اخبارية انجليزية وعبريّة.

    المقالات ذات الصلة

    في المتحف المصري الكبير.. قرآنٌ يُشعل الجدل

    11 نوفمبر، 2025

    ترامب وويتكوف.. مليارات مشفّرة على الرمال الإماراتية

    10 نوفمبر، 2025

    رفات هدار غولدن.. ورقة التفاوض الجديدة

    9 نوفمبر، 2025
    اترك تعليقاً إلغاء الرد

    قد يعجبك
    الهدهد 11 نوفمبر، 2025

    نادٍ سِرِّيّ للرقص الشرقي في السعودية

    …

    حياتنا 11 نوفمبر، 2025

    في المتحف المصري الكبير.. قرآنٌ يُشعل الجدل

    …

    الهدهد 10 نوفمبر، 2025

    نفق رفح والجيش الذي لا يقهر!

    …

    تقارير 10 نوفمبر، 2025

    اختطاف مصريين في مالي.. ما وراء الكواليس

    …

    حياتنا 10 نوفمبر، 2025

    ترامب وويتكوف.. مليارات مشفّرة على الرمال الإماراتية

    …

    تقارير 10 نوفمبر، 2025

    بشتائم “سوقيّة” .. كاتس يهاجم أردوغان

    …

    الهدهد 10 نوفمبر، 2025

    ترامب يسقط «بي بي سي».. وثائقي يهزّ أعرق مؤسسة إعلامية في العالم

    …

    تقارير 10 نوفمبر، 2025

    من الجزائر إلى ميدان التحرير.. “نُخبة السيسي” تُواصل الإبداع

    …

    الهدهد 10 نوفمبر، 2025

    أحمد السماعنة.. العميل الذي تجوّل في قلب الأراضي المحتلة

    …

    الهدهد 9 نوفمبر، 2025

    رجل العلم والقرآن.. الذي لم يسكت عن خيانة الحكام لغزة

    …

    Tags
    أمريكا إسرائيل إيران اسرائيل اغتصاب الأردن الإمارات الامارات البحرين الجزائر الرياض السعودية السودان السيسي العراق القاهرة القدس الكويت المغرب الملك سلمان النظام المصري اليمن بشار الأسد تركيا تونس جمال خاشقجي حزب الله حماس داعش دبي دونالد ترامب رجب طيب أردوغان روسيا سلطنة عمان سلطنة عمان سوريا عبد الفتاح السيسي غزة فلسطين قطر لبنان ليبيا محمد بن زايد محمد بن سلمان مصر
    © 2026 جميع الحقوق محفوظة.
    • Contact us
    • Sitemap
    • من نحن / Who we are
    • Cookie Policy (EU)
    • سياسة الاستخدام والخصوصية

    اكتب كلمة البحث ثم اضغط على زر Enter